突破:我校在新型红色荧光材料领域研究取得新进展

发布者:管理员发布时间:2024-09-11浏览次数:1995

近日,我校智慧交通现代产业学院王飞教授团队在新型红色荧光材料领域研究取得新进展,相关成果发表在国际权威期刊《Ceramics International》(TOP期刊)、《Journal of Alloys and Compounds》(TOP期刊)和《Inorganic Chemistry Communications》均为JCR一区,其中在《Dalton Transaction》(JCR一区;2024, 53, 12465)发表的论文“Fluorescence properties of novel deep-red phosphor LiMg4SbO7:Mn4+ with excellent quantum yield and color purity”被期刊选为正面封面论文进行报道。我校均为第一作者单位和第一通讯单位。

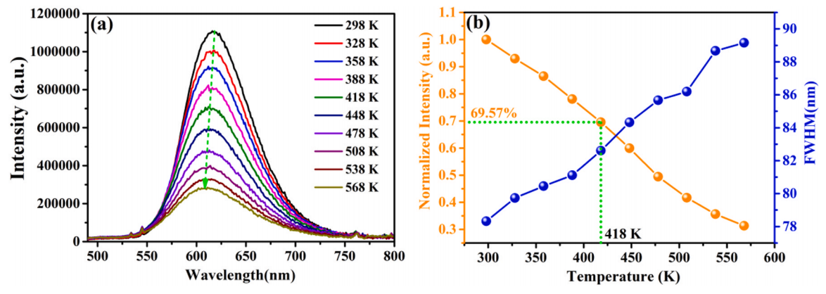
在这项工作中,通过高温固相法合成了一种新型深红色荧光材料LiMg4SbO7:Mn4+,该荧光材料表现出惊人的量子产率(QY=98.71%)和色纯度(CP=100.89%)。因此,该荧光材料在显示器的背景光和LED照明领域具有巨大的应用价值。

系列研究围绕以Eu2+、Eu3+和Mn4+为发光中心,以硅酸盐和锑酸盐为基质的新型红色荧光材料,该系列新材料具有发光效率高、显色性好和热稳定性优异等优点,可以广泛应用于交通安全信息显示、照明、背景显示和植物生长照明等诸多领域。

近年来,我校十分重视科研团队的引育和高水平科研成果的孵化。该系列工作得到了国家车辆驾驶安全工程技术研究中心、安徽省普通高校交通信息与安全重点实验室等项目的支持。(撰稿:智慧交通现代产业学院 编辑:隋欣)

论文链接:

1.Dual-strategy of Eu2+ sensitization and Ca2+ substitution improves the   

luminescence properties of phosphor Sr2La8(SiO4)6O2:Eu. 

https://doi.org/10.1016/j.ceramint.2022.09.270

2. Photoluminescence properties of novel blue-light excited orange-red phosphors Sr3Al2Si3O12:Eu2+.

 https://doi.org/10.1016/j.jallcom.2023.168888

3. Energy transfer of Eu2+→Eu3+ improves the photoluminescence properties of orange-red phosphor La2O2S:Eu. 

https://doi.org/10.1016/j.jallcom.2023.172394

4. Fluorescence properties of novel deep-red phosphor LiMg4SbO7:Mn4+ with excellent quantum efficiency and color purity for warm white LEDs.

 https://doi.org/10.1039/D4DT00868E.

5. Novel red phosphor Ba0.3Sr0.7SiO3:Eu3+ with excellent quantum yield and thermal stability.

https://doi.org/10.1016/j.inoche.2023.111720.

Baidu
map